Skip to content Skip to sidebar Skip to footer

Soal Dan Pembahasan Venturimeter - Kecepatan Air Yang Masuk Venturimeter Dan Keluar Idschool - Hasil = skala tetap + skala nonius.

Soal Dan Pembahasan Venturimeter - Kecepatan Air Yang Masuk Venturimeter Dan Keluar Idschool - Hasil = skala tetap + skala nonius.. Fluida dinamis (materi fisika kelas 11) fluida dinamis merupakan salah satu materi fisika yang dipelajari di kelas 11 semester 1, oleh karena itu disini saya mencoba untuk membuat latihan soal materi fluida dinamis lengkap dengan pembahasannya secara terperinci, bisa dijadikan latihan untuk para siswa agar. Pembahasan persamaan kontinuitas a 1 v 1 = a 2 v 2 (5)(15) = (2) v 2 v 2 = 37,5 m/s soal no. 1, 2, 3, dan 4. Jadi, hasil pengukurannya 4,30 mm. O misterio da gruta baixar livro walcyr.

Pembahasan seperti soal sebelumnya, silakan dicoba, jawabannya 4 m/s. Pembahasan persamaan kontinuitas a 1 v 1 = a 2 v 2 (5)(15) = (2) v 2 v 2 = 37,5 m/s soal no. Hasil = 4 mm + 0,30 mm = 4,30 mm. Pengukuran tebal batang terlihat seperti gambar berikut. Gas yang keluar dari ujung selang itu mendorong sebuah balok.

Fluida Dinamis Persamaan Bernoulli Ciri Dan Contoh Soal
Fluida Dinamis Persamaan Bernoulli Ciri Dan Contoh Soal from www.gurupendidikan.co.id
Soal dan pembahasan un unbk matematika smp 2019 merupakan materi penting untuk dipelajari sebagai persiapan untuk menghadapi unbk tahun 2020. Pembahasan soal fluida dinamis (part 1/2) s = 2 √ (0,2. Soal biologi kls 11 +pembahasan 1. Inilah pembahasan selengkapnya mengenai contoh soal dan pembahasan venturimeter dengan manometer. Terima kasih telah berkunjung ke blog contoh soal terbaru 2019. Pembahasan rumus untuk venturimeter dengan manometer, di soal cairan pengisi manometer adalah air raksa / hg: Jarak lubang ke tanah adalah 10 m dan jarak lubang ke permukaan air adalah 3,2 m. 3 tangki air dengan lubang kebocoran diperlihatkan gambar berikut!

Laju fluida di pipa berdiameter 8 mm adalah 1,25 m/s, pipa 10 mm adalah 0,4 m/s.

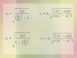
Dengan v1 = kecepatan aliran fluida pada pipa besar a = luas pipa yang besar a = luas pipa yang kecil h = beda tinggi hg atau cairan lain pengisi manometer ρ' = massa jenis hg atau cairan lain pengisi manometer ρ = massa jenis fluida. Pembahasan diketahui debit yang masuk sama dengan yang keluar, maka: Skala tetap = 4 × 1 mm = 4 mm. Jika luas penampang kran dengan diameter d 2 adalah 2 cm 2 dan kecepatan aliran air di kran adalah 10 m/s tentukan: Fluida dinamis persamaan bernoulli ciri dan contoh soal. Bagian pipa venturimeter yang lebih besar mempunyai luas penampang a 1 6 cm 2 dan bagian pipa yang lebih kecil mempunyai luas penampang a 2 5 cm 2kelajuan air yang memasuki pipa venturimeter adalah h 20 cm g 10 ms 2. S = 2 √ 0,16. (l) memerlukan medium dalam perambatan. Soal medspin kedokteran unair dan pembahasan.14. Posisi pipa besar adalah 5 m diatas tanah dan pipa kecil 1 m diatas tanah. Soal 1 arus listrik 20 a mengalir dalam suatu kumparan kawat penghantar melingkar yang. Soal medan magnet disekitar kawat melingkar dan pembahasannya. Pembahasan rumus untuk venturimeter dengan manometer, di soal cairan pengisi manometer adalah air raksa / hg:

Perbandingan luas penmpang 1 dan penampang 2 yaitu 5 : O misterio da gruta baixar livro walcyr. Pembahasan soal uts mekanika fluida. Luas penampang pipa besar adalah 5 cm 2 sedangkan luas penampang pipa yang lebih kecil 3 cm 2.jika beda ketinggian hg pada manometer adalah 20 cm, tentukan kelajuan minyak saat memasuki pipa, gunakan g = 10 m/s 2 dan massa. Pipa 15 mm memiliki cabang lagi dua pipa berdiameter sama 8 mm.

Makalah Fisika Tabung Venturi Dan Tabung Pitot Pdf Free Download
Makalah Fisika Tabung Venturi Dan Tabung Pitot Pdf Free Download from docplayer.info
Contoh soal venturimeter dengan manometer beserta pembahasan. Pembahasan seperti soal sebelumnya, silakan dicoba, jawabannya 4 m/s. Ahmad mengisi ember yang memiliki kapasitas 20 liter dengan air dari sebuah kran seperti gambar berikut! Rangkuman fluida dinamis contoh soal pembahasan. 6 pipa untuk menyalurkan air menempel pada sebuah dinding rumah seperti terlihat pada gambar berikut! Soal 1 sebuah venturimeter tanpa manometer diperlihatkan pada gambar dipakai untuk mengukur kecepatan air. Demikian informasi yang dapat kami bagikan mengenai contoh soal venturimeter dengan manometer beserta pembahasan. Antarvasna 36 hindi pdf stories.rar.

1, 2, dan 4 answer :

Sebuah tangki dengan kedalaman air 20 cm dari permukaan, air dalam tangki memancar ke luar melalui pancuran yang membentuk sudut 30° terhadap tanah. Suatu zat cair dialirkan melalui pipa seperti tampak pada gambar berikut. Soal un 2011/2012 c61 no.11. Soal medspin kedokteran unair dan pembahasan.14 0:25. Inilah pembahasan lengkap terkait contoh soal venturimeter dengan manometer dan pembahasannya. Bagian pipa venturimeter yang lebih besar mempunyai luas penampang a 1 6 cm 2 dan bagian pipa yang lebih kecil mempunyai luas penampang a 2 5 cm 2kelajuan air yang memasuki pipa venturimeter adalah h 20 cm g 10 ms 2. Fluida dinamis persamaan bernoulli ciri dan contoh soal. 1, 2, 3, dan 4. Belajar fluida ingat hukum bernoulli quipper blog. Pembahasan seperti soal sebelumnya, silakan dicoba, jawabannya 4 m/s. Soal medspin kedokteran unair dan pembahasan.14. Hal ini disebabkan oleh adanya aktivitas jaringan …. Pengukuran mikrometer sekrup sebagai berikut.

Perbandingan luas penmpang 1 dan penampang 2 yaitu 5 : Hasil = 4 mm + 0,30 mm = 4,30 mm. Soal medspin kedokteran unair dan pembahasan.14. A) kecepatan keluarnya air b) jarak mendatar terjauh yang dicapai air Soal dan pembahasan un unbk matematika smp 2019 merupakan materi penting untuk dipelajari sebagai persiapan untuk menghadapi unbk tahun 2020.

Soal Venturimeter Dan Pembahasan
Soal Venturimeter Dan Pembahasan from 1.bp.blogspot.com
Soal no.1 (utbk 2019) suatu selang mengalirkan gas dengan debit yang tetap. Pembahasan rumus untuk venturimeter dengan manometer, di soal cairan pengisi manometer adalah air raksa / hg: Jika luas penampang kran dengan diameter d 2 adalah 2 cm 2 dan kecepatan aliran air di kran adalah 10 m/s tentukan: Inilah pembahasan selengkapnya mengenai contoh soal dan pembahasan venturimeter dengan manometer. 2, 3, dan 4 e. Soal medspin kedokteran unair dan pembahasan.14 0:25. Soal fluida masuk melalui pipa berdiameter 20 mm yang memiliki cabang dua pipa berdiameter 10 mm dan 15 mm. Demikian informasi yang dapat kami bagikan mengenai contoh soal venturimeter dengan manometer beserta pembahasan.

Pembahasan seperti soal sebelumnya, silakan dicoba, jawabannya 4 m/s.

Pembahasan seperti soal sebelumnya, silakan dicoba, jawabannya 4 m/s. Mencakup debit, persamaan kontinuitas, hukum bernoulli dan toricelli dan gaya angkat pada sayap pesawat. A) kecepatan keluarnya air b) jarak mendatar terjauh yang dicapai air Soal dan pembahasan bahasa inggris (tps) bacaan bagian 4. Soal medspin kedokteran unair dan pembahasan.14. Latihan soal dan pembahasan lengkap : 1, 2, dan 3 b. Suatu zat cair dialirkan melalui pipa seperti tampak pada gambar berikut. 13 untuk mengukur kelajuan aliran minyak yang memiliki massa jenis 800 kg/m 3 digunakan venturimeter yang dihubungkan dengan manometer ditunjukkan gambar berikut. Posisi pipa besar adalah 5 m diatas tanah dan pipa kecil 1 m diatas tanah. Pembahasan soal uts mekanika fluida. Soal medspin kedokteran unair dan pembahasan.14 0:25. Hasil = skala tetap + skala nonius.

Post a Comment for "Soal Dan Pembahasan Venturimeter - Kecepatan Air Yang Masuk Venturimeter Dan Keluar Idschool - Hasil = skala tetap + skala nonius."